AndoLabInstruments

Koheras BasiK X15

Pictures

KoherasBasiK_X15_K172-103-605.JPG

Manual

Product Guide

data sheet

Characteristics

RIN

データシートからのコピー

X15_RIN.png

Frequency Noise

データシートから編集

X15_FrequencyNoise.png

データシートでは "Phase Noise [dB // Rad/rt(Hz)]" と書いてあるが,これはいわゆる位相雑音ではない. タイトルに "1m optical path mismatch" とあるように,1mのディレイラインがあると位相がこれくらい揺らぎますよ,という量.
ここの計算からレーザーの周波数雑音に換算でき,それで示したのが上の図.

Frequency Modulation

データシートから編集

X15_FrequencyModulation.png

データシートのグラフは,差動入力で最大レンジの信号を入れた時の応答をプロットしている. レンジは±5Vなので,最大レンジの応答を 1/5 すれば [Hz/V] の単位になるはずである. ところが実際の測定結果からはデータシートの値の 1/50 程度のオーダーになった. またマニュアルにもグラフがあり,その値はデータシートよりも1/10ほど小さい.
よって,おそらくデータシートの方は誤植で,1/10した値が正しい応答と思われる. プロットはデータシートの値を 1/50 して単位を [Hz/V] に換算した.

Measurement results

Intensity noise

高野D論から抜粋
モノリシック光学系のベースプレート上のPDで低温下(~12 K)で測定. 根元のレーザーのノイズに加えて,途中のファイバー・懸架系の揺れによるノイズも含まれているので注意.

測定データ: here

RIN_X15.png

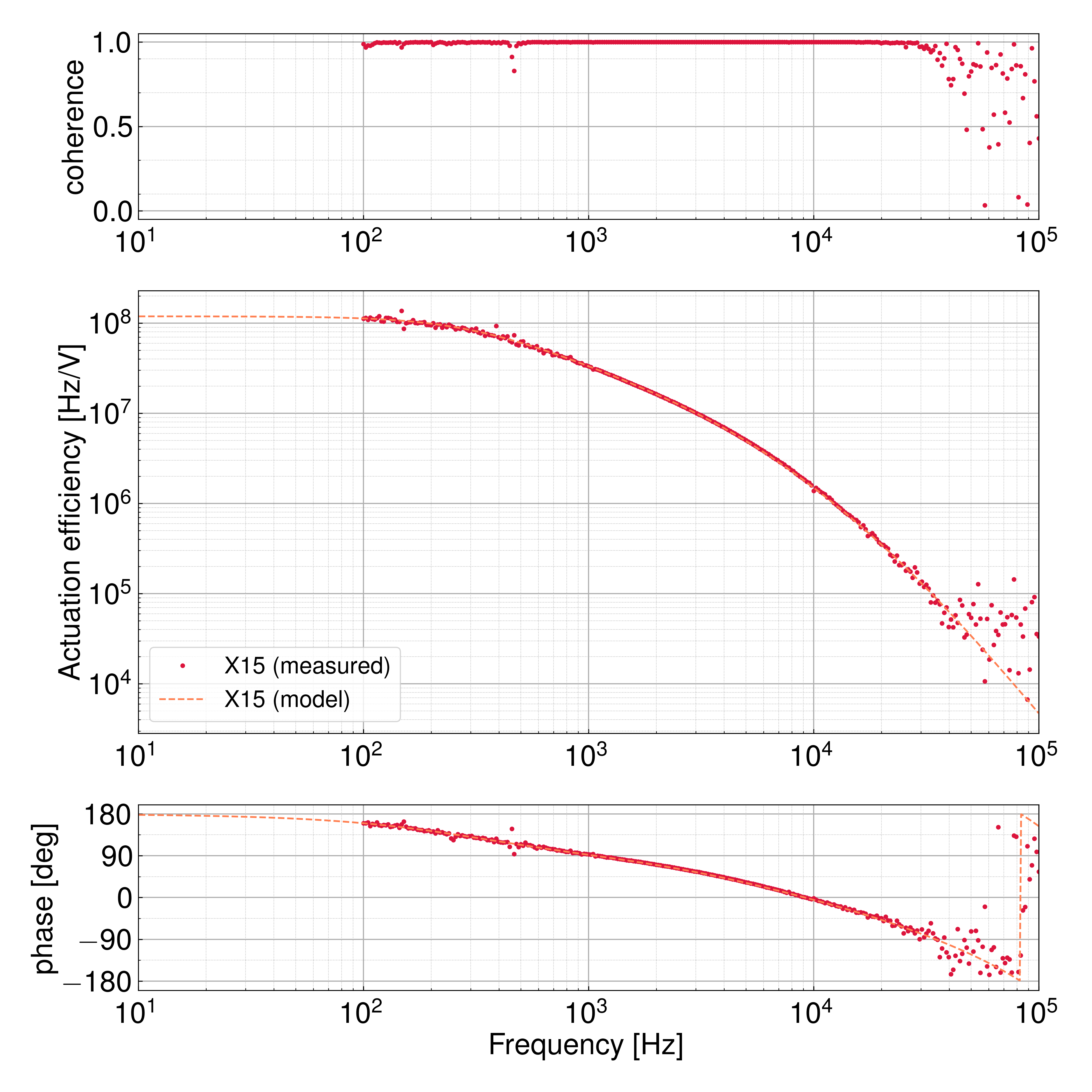
Actuator efficiency

高野D論から抜粋
キャビティにレーザーをロックして,オープンループ伝達関数から測定. 実線が測定したデータ,点線が以下でフィットしたモデル;

Amodel_X15.png

パラメーター:

A0 [MHz/V]f1 [kHz]f2 [kHz]f3 [kHz]t0 [µs]
119(2)0.297(5)5.0(8)27.4(6)3.74(8)
A_X15.png

Frequency noise

高野D論から抜粋
懸架した光学ベンチ上にファイバーマイケルソンをおいて測定. 実線が測定したデータ,点線が以下でフィットしたモデル;

S_X15.png

パラメーター:

nanbab
1.66(2)e3416(2)1.61(1)0.3271(5)

測定データ: here

FreqNoise_X15.png

Related elog


トップ   新規 一覧 検索 最終更新   ヘルプ   最終更新のRSS