AndoLabInstruments

機能

外観・内観

Offset-Sum-Monitor_front.jpeg
チャンネルは全部で4つ.
それぞれのチャンネルに,左から右・上から下の順番で

  1. input
  2. input monitor(inmon)
  3. offset monitor
  4. excitation
  5. output
  6. output monitor(outmon)

の順に並んでいる.
可変抵抗はoffsetの調整で,-10V~+10Vまで調整できる.
スイッチはexcitationの切り替えで,offにするとexcitationは足されない.

内部構成

内部は4枚の基板からなっている

回路図

Offset-Sum-Monitor.png

使用基板

ノイズレベル

inmon

noise_inmon_high.png
noise_inmon_low.png

outmon

noise_outmon_high.png
noise_outmon_low.png

offset

noise_offset_high.png
noise_offset_low.png

out

noise_output_high.png
noise_output_low.png

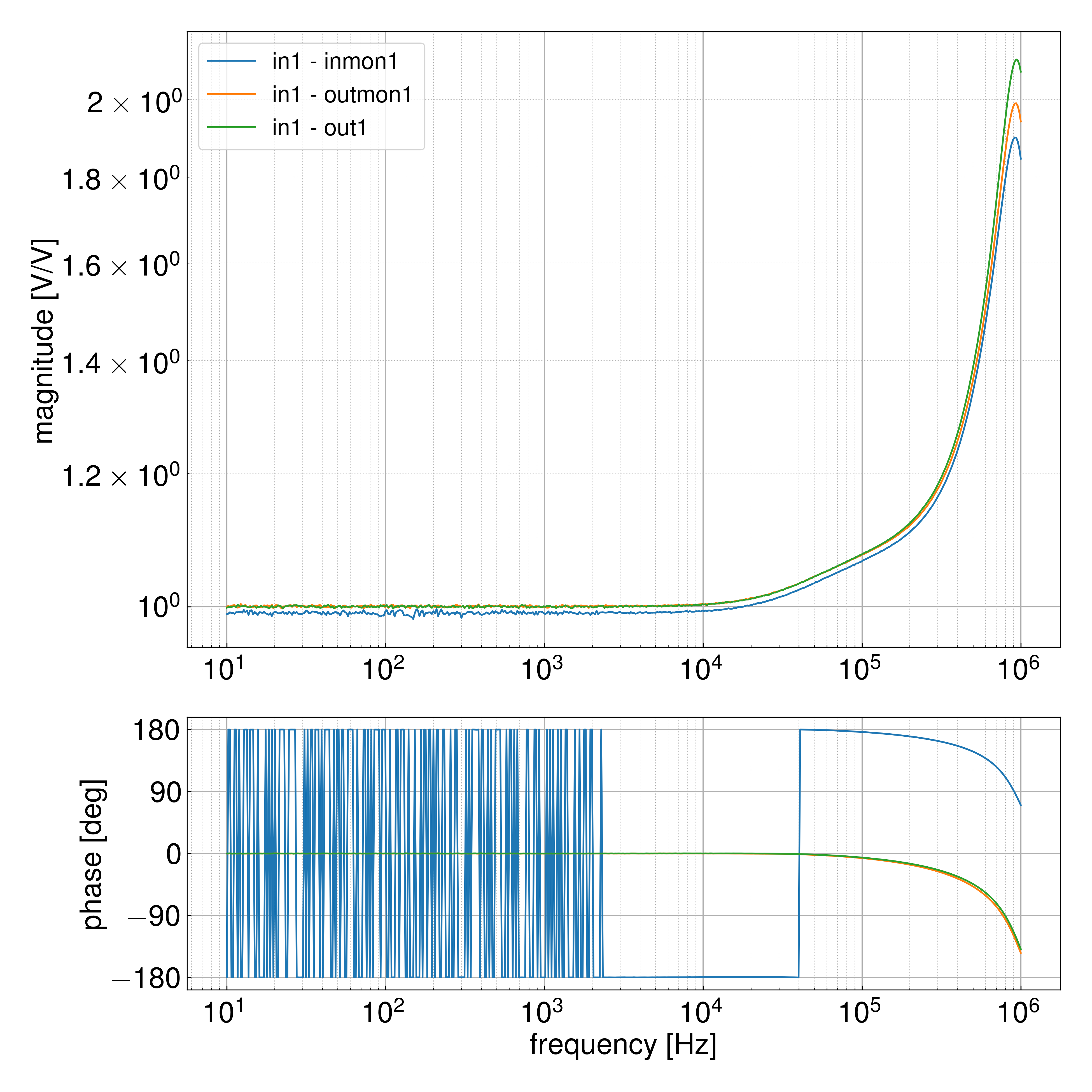
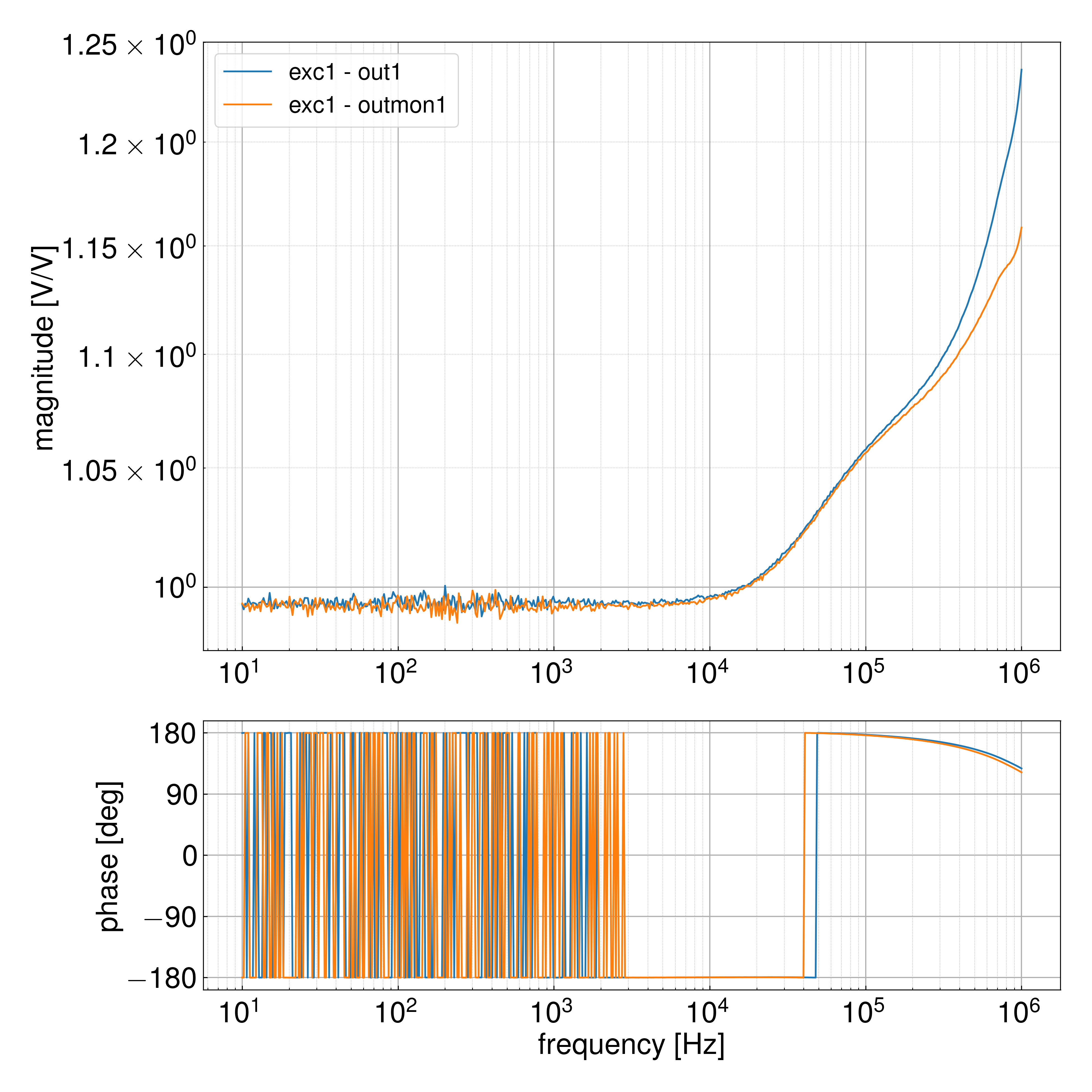
伝達関数

ch1

TF_in1.png
TF_exc1.png

ch2

TF_in2.png
TF_exc2.png

ch3

TF_in3.png
TF_exc3.png

out

TF_in4.png
TF_exc4.png


添付ファイル: fileTF_in1.png 4172件 [詳細] fileTF_exc1.png 4178件 [詳細] fileTF_in2.png 4141件 [詳細] fileTF_exc2.png 4201件 [詳細] fileTF_in3.png 4157件 [詳細] fileTF_exc3.png 4140件 [詳細] fileTF_in4.png 4126件 [詳細] fileTF_exc4.png 4187件 [詳細] filenoise_output_low.png 4975件 [詳細] filenoise_output_high.png 4930件 [詳細] filenoise_outmon_low.png 4958件 [詳細] filenoise_outmon_high.png 4947件 [詳細] filenoise_offset_low.png 5017件 [詳細] filenoise_offset_high.png 4943件 [詳細] filenoise_inmon_low.png 4870件 [詳細] filenoise_inmon_high.png 4955件 [詳細] fileOffset-Sum-Monitor_front.jpeg 5326件 [詳細] fileNo4.jpeg 4422件 [詳細] fileNo3.jpeg 4361件 [詳細] fileNo2.jpeg 4434件 [詳細] fileNo1.jpeg 4426件 [詳細] fileOffset-Sum-Monitor.png 5022件 [詳細]

トップ   編集 凍結 差分 バックアップ 添付 複製 名前変更 リロード   新規 一覧 検索 最終更新   ヘルプ   最終更新のRSS
Last-modified: 2021-11-16 (火) 20:58:36