AndoLabInstruments
- SR560-likeなスイッチ切り替えフィルタ回路
機能 †
- ローパスフィルタ / 位相補償フィルタ
- カットオフ周波数 (f1, f2):0.03, 0.1, 0.3, 1, ..., 10k Hz
- DCゲイン (G):1.0, 2.1, 4.5, 10, 21, ..., 4500
- 入力DC/AC切り替え
- インバータ

ゲイン100以下, 周波数1kHz以下での使用を推奨(理由は最後の「問題点」を参照)
外観・内観 †

3つのノブがそれぞれf1, f2, Gainのスイッチ
内部構成 †
内部はオペアンプ基板と切り替え用コンデンサ・抵抗の基板に分かれており、スイッチ・コネクタ等がフロントパネルに固定されている

オペアンプ基板

切り替えコンデンサ・抵抗の基板
回路図 †

使用部品 †
- 切り替えスイッチ:アルプス電気 ロータリースイッチ12極 M-1C(資材室より)
- コンデンサ:ポリエステルフィルムコンデンサ
- 抵抗:金属皮膜抵抗(?安東研ストック品)
- 回路基板:GeneralBoard(汎用フィルタ基盤 P板.comで製作)
パフォーマンス †
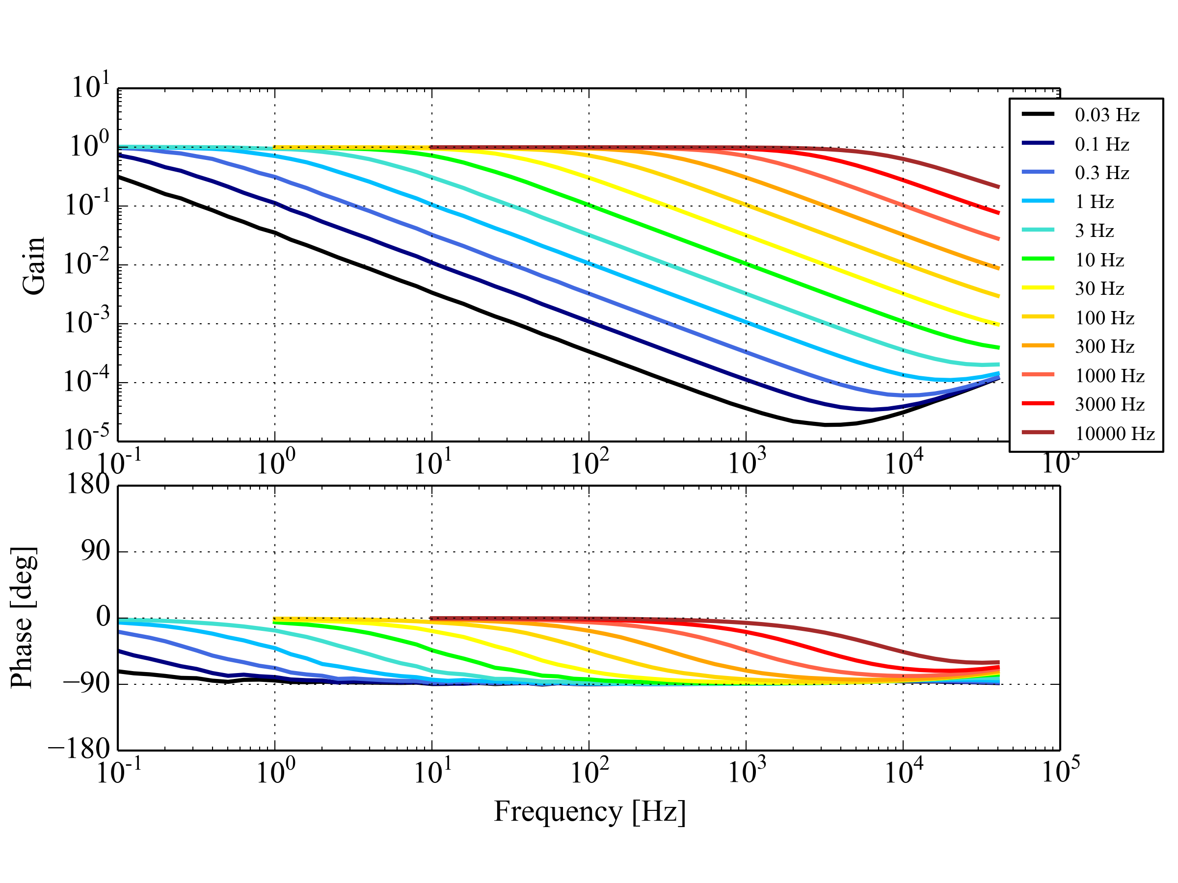
伝達関数 †
- ローパスフィルタ(カットオフ周波数切り替え, DC gain=1固定)

- ローパスフィルタ(f2=100Hz固定, DCゲイン切り替え)

- 位相補償フィルタ(f1=f2/10固定で切り替え)

- 位相補償フィルタ(f1=100Hz固定, f2切り替え)

ノイズレベル †
- ローパスフィルタ(f2=0.03Hz固定, ゲイン切り替え)

最下段のゲイン切り替えオペアンプの前段階換算で約1.5e-8 V/rtHz @ f>10Hz
問題点 †
- 高周波数帯に約3e-5×(f/10kHz)の伝達経路がある ※ 1つ目の伝達関数参照
- 高ゲインの場合に余分なローパス特性がかかる ※ 2つ目の伝達関数参照
- ゲイン切り替え段の抵抗部分に並列に約40pFの静電容量がある? 配線などによるものか